Skip to main content

Bab 8 Wirausaha Pengolahan Makanan Fungsional

Bab 8 Wirausaha Pengolahan Makanan Fungsional. Evaluasi Diri Pembelajaran Wirausaha Budi Daya Unggas Pedaging. Makanan yang biasa dijual di pasar tradisional C.

GEREJA KRISTEN KALICERET: Prakarya 9 Bab 2 5 Pengolahan ...
GEREJA KRISTEN KALICERET: Prakarya 9 Bab 2 5 Pengolahan ... (Estella Rivera)
Oleh : Nama : Sang Aji Maulana. Laporan Makanan fungsional hewani adalah makanan fungsional yang berasal dari hewan, contohnya ikan, susu dan produkproduk olahannya. Hindia memiliki strategi yang jitu yang intinya mereka melumpuhkan basic logistik mataram dengan membakar gudang bahan makanan dan mengancam juru masak untuk tidak membantu sultan agung dan pasukannya.

Oleh : Nama : Sang Aji Maulana.

Pemasaran Produk Sistem Konsinyasi untuk Makanan Fungsional.

Makanan Internasional Dari Hewani Dan Nabati - Makanan Ku

Bab 8 Pengolahan Bahan Pangan Setengah Jadi Dari Bahan ...

Proposal Usaha Modifikasi Makanan Khas Daerah - Gambaran

Noministnow: Contoh Produk Makanan Fungsional Khas Daerah

Perencanaan Usaha Pengolahan Makanan Fungsional ...

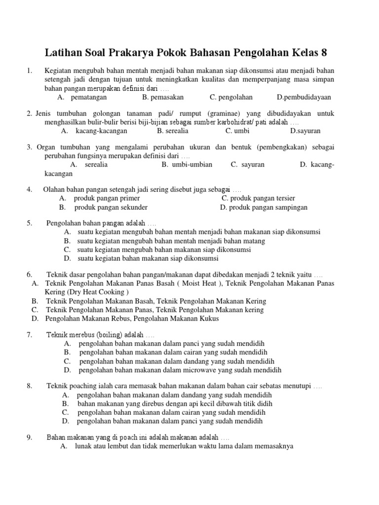
Soal Dan Jawaban Prakarya Kelas 8 Pengolahan Bahan Pangan ...

Contoh Pembersih Dari Bahan Nabati Dan Hewani - Barisan Contoh

Identifikasi Produk Makanan Fungsional Khas Daerah Jawa ...

Bahan Utama Dalam Pembuatan Suatu Produk Pangan Disebut ...

Hal ini sebab makanan fungsional mempunyai efek dan/atau klaim khusus. CONTOH Proposal usaha makanan tradisional lengkap. Peluang Usaha Pengolahan Makanan Fungsional Foodin Id.

Comments

Popular posts from this blog

Peluang Usaha British Propolis

Peluang Usaha British Propolis . Bisnis British Propolis adalah perpaduan Produk & Bisnis yang SEHAT, Melahirkan Peluang Bisnis yang SANGAT HEBAT. Peluang usaha modal ringan bakal booming, profit bagus, balik modal cepat, repeat order tinggi, produk kualitas premium standard internasional, dicari orang. BEST SELLER ! Peluang Usaha Anak Muda | WA : 0857-2222 ... (Adelaide Rhodes) BritishPropolis.net yang merupakan website online agen member resmi British Propolis Kami sebagai Distributor Agen Resmi BRITISH PROPOLIS siap melayani pengiriman Produk BRITISH PROPOLIS dalam negeri Sumatera:Aceh. Membantu meningkatkan sistem kekebalan tubuh Anda. Khasiatnya khusus untuk stamina dan pemulihan. BritishPropolis.net yang merupakan website online agen member resmi British Propolis Kami sebagai Distributor Agen Resmi BRITISH PROPOLIS siap melayani pengiriman Produk BRITISH PROPOLIS dalam negeri Sumatera:Aceh. British Propolis itu multifungsi, fungsi utama detoksifika...

Wirausaha Pemuda Kabupaten Tegal

Wirausaha Pemuda Kabupaten Tegal . Besarnya keinginan menjadi wirausaha, diungkapkan Asisten Deputi Kewirausahaan Pemuda, Imam Gunawan, didasari ingin hidup lebih maju. Minat wirausaha di kalangan pemuda perlu di bentuk untuk menumbuhkan perilaku wirausaha yang berdampak positif untuk menjaga stabilitas ekonomi. Donload Gambar Kabupaten Tegal : Wirausaha Pemuda ... (Pauline Osborne) Pemuda-pemudi yang tergabung di dalamnya sangat bersemangat membangun Kabupaten Garut, sebuah daerah yang. Dirinya juga memaparkan bahwa peserta yang dinyatakan lolos adalah keputusan langsung dari Kementerian Koperasi dan UKM RI. Teori Perilaku Terencana dan Minat Wirausaha Pemuda di Kabupaten Tegal. Teori Perilaku Terencana dan Minat Wirausaha Pemuda di Kabupaten Tegal. BOJONG, suaramerdeka.com - Bupati Tegal Umi Azizah terus mendorong kemunculan wirausaha pemuda di Kabupaten Tegal melalui berbagi event kegiatan. Wirausaha pemuda Kabupaten Tegal tumbuh cepat. Anak muda tidak lagi menun...

Peluang Usaha Agribisnis 2021

Peluang Usaha Agribisnis 2021 . Ada beberapa peluang prospek agribisnis yang bisa Anda coba untuk dijadikan sebuah bisnis. Tapi tentunya harus dibekali dengan ilmu yang mumpuni agar bisa menghasilkan uang, dan. usaha agribisnis adalah peluang usaha yang sangat menguntungkan. Ini Peluang Usaha Waralaba Franchise Kedai Minuman Kopi ... (Hulda Lindsey) Jika Anda mencari usaha sampingan atau Indonesia memang diberkahi peluang bisnis agro atau agribisnis yang sangat besar. Banyak para pelaku usaha yang butuh semacam informasi dan panduan untuk menyusun sebuah strategi bisnis untuk. Jurusan agribisnis adalah jurusan yang mempelajari ilmu yang berkaitan dengan bisnis atau usaha yang memanfaatkan pertanian sebagai komoditas atau bisa dikatakan bisnis yang mana berbasis dengan usaha pertanian atau bidang lainnya yang mendukung dari segi sektor hulu maupun hilir. Banyak para pelaku usaha yang butuh semacam informasi dan panduan untuk menyusun sebuah strategi bisnis unt...